Включение в цепи синусоидальной ЭДС
Конденсаторы промежуточного контура не работают динамически. Поэтому имеет смысл изучить электрические параметры при подключении генератора синусоидального сигнала. В этой ситуации, помимо энергетических процессов, есть возможность проверить частотные зависимости.
Виды включений
Параллельное соединение увеличивает емкость:
Общий = C1 + C2.
Для уменьшения основного функционального параметра используется последовательная схема:
1 / Общий = 1 / C1 + 1 / C2.
При подключении к источнику переменного тока конденсатор подходит для следующих задач:
- устранение постоянной составляющей сигнала;
- ухудшение проводимости для заданного диапазона частот;
- настроить частоту колебательного контура и других радиотехнических схем.
При необходимости с помощью конденсатора можно погасить паразитные колебания, убрать импульсные шумы.
Простейший тип включения
Приведенные выше формулы для тока и напряжения можно представить следующим образом:
- I = Im cos (f * t + π / 2);
- U = Uo * cosf * t.
Пояснения к описаниям цикла
На простой схеме подключения следует отметить следующие этапы рабочего процесса:
- повышение напряжения с накоплением заряда током максимальной силы;
- уменьшение i (t) до нуля с одновременным достижением максимального значения Um;
- снижение U при одновременном разряде конденсатора;
- достигнув уровня Im с U = 0.
Общий подход к выбору продукта и методика расчета адекватны с учетом целевого назначения. Если нет более высоких требований к точности, можно применить представленные параметры и формулы. Дополнительные данные можно получить из прилагаемой документации на официальных сайтах производителей радиоэлектронных компонентов.
Метод векторных диаграмм
Мы уже пользуемся векторными диаграммами, по которым наблюдаем соотношения токов и напряжения в цепях переменного тока. Векторная диаграмма это стоячее изображение вращающихся векторов.
В предыдущих рассуждениях, было сказано, что линейно развернутая диаграмма переменного процесса, (в простом случае синусоидального), точно показывает изменение мгновенного значения переменной величины, то есть, происходит все именно так как показывает синусоида и каждая ее точка и есть переменная величина в данный момент. Но оказывается нам интересно не это, нам нужно знать какое значение тока и напряжения и мощности действует в цепи в течение времени, то есть действует длительное время, пока цепь работает.
Анализ синусоид нескольких величин, одновременно действующих в разных фазах, позволяет рассчитать все свойства и режимы работы цепи переменного тока, но гораздо проще это сделать, если отвлечься от синусоид и просто построить соотношение векторов, которые, собственно, и образуют эти синусоиды. Вся информация синусоид заложена в их радиус – векторах. Мы останавливаем эти векторы на рисунке, понимая, что они вращающиеся, но факт их вращения учитываем угловой частотой в расчетных формулах векторной диаграммы.
Итак, векторная диаграмма заменяет линейно развернутую синусоидальную диаграмму, потому, что любая информация, заложенная в синусоиду, есть и в соответствующем ей радиус-векторе.
Если нам приходится рассматривать несколько действующих одновременно синусоидальных процессов, то они изображаются векторной диаграммой, где длина каждого вектора, соответствует действующему значению синусоидальной величины, направление вектора соответствует начальной фазе, синусоидальной величины.
Результирующие значения одновременно действующих напряжений рассчитывается как векторная сумма, где угол между векторами определяется сдвигом фаз между ними.
Расчет цепей переменного тока сводится к расчету треугольников, которые состоят из соответствующих векторов.
Например, можно определить суммарное напряжение, частичные напряжения, и сдвиг фаз между ними.
На основании векторных диаграмм можно построить подобные векторным диаграммам треугольники сопротивлений и треугольники мощностей, решением которых можно определить соотношения сопротивлений, и мощности которые действуют в цепях переменного тока.
Векторная диаграмма напряжений представляет собой векторный треугольник напряжений
Последовательное соединение L R.
Любая катушка наматывается проволокой, а проволока обладает сопротивлением, которое приходится учитывать.

Получается, что реальная цепь, содержащая только L, просто невозможна. В некоторых случаях значением R пренебрегают, и получается, что вроде бы цепь с только L, на самом деле она конечно L R.
Реально, кроме проволоки, в цепи всегда есть и какие – то другие элементы R, поэтому интерес представляют именно цепи L R,
Ток, при последовательном соединении, один и тот же через все сопротивления, а напряжения разные, но общее напряжение не равно просто сумме напряжений на каждом сопротивлении, оно равно векторной сумме, то есть вектор общего напряжения равен сумме векторов напряжений на каждом участке. Для расчетов напряжений надо построить векторную диаграмму.
Векторная диаграмма строится так.

Определение индуктивности катушки
Полное сопротивление катушки индуктивности переменному току (Z) складывается из индуктивного ( ) и активного (R) сопротивлений. Величина полного сопротивления определяется формулой:
Активное сопротивление катушки индуктивности — это сопротивление проводника, из которого сделана катушка. Оно, естественно, зависит от геометрических размеров, материала и температуры проводника. Наличие активного сопротивления приводит к потерям энергии при протекании тока по проводнику или, иными словами, превращению некоторой части электрической энергии во внутреннюю энергию проводника.
Индуктивное сопротивление обусловлено взаимодействием протекающего по катушке тока с магнитным полем, созданным этим током внутри катушки. Если катушка подключена к источнику переменного тока, то на стадии роста напряжения источника (первая четверть периода колебаний) явление самоиндукции сдерживает нарастание тока в цепи. Энергия, отбираемая при этом от источника питания, переходит в энергию магнитного поля катушки. Стадия нарастания напряжения источника питания продолжается ограниченное время, и ток не успевает достигнуть предельного значения, определяемого активным сопротивлением катушки. Далее наступает стадия уменьшения напряжения источника питания (следующая четверть периода), на которой явление самоиндукции проявляется в отставании спада тока от уменьшения напряжения, а энергия, запасенная в магнитном поле, возвращается в электрическую цепь. Таким образом, катушка индуктивности препятствует протеканию тока в цепи, не внося в систему энергетических потерь.
Индуктивное сопротивление XLзависит от частоты изменения внешнего напряжения v и индуктивности катушки L следующим образом: .
Чтобы подчеркнуть, что индуктивное сопротивление не связано с преобразованием электромагнитной энергии в другие виды энергии, такое сопротивление в отличии от активного называют реактивным.
В сети переменного тока с частотой 50 Гц индуктивное сопротивление катушки, содержащей несколько сотен витков медного провода большого сечения, как правило, значительно превосходит ее активное сопротивление. В этом случае активным сопротивлением катушки можно пренебречь и считать, что ее полное сопротивление совпадает с индуктивным: . На этом основан метод определения индуктивности, применяемый в данной работе.
Согласно закону Ома ток в цепи равен: , откуда следует, что: . Поскольку в нашем случае индуктивное сопротивление практически совпадает с полным сопротивлением, можно записать: . С другой стороны, как было записано выше, индуктивное сопротивление катушки равно: .
Исключая из двух последних соотношений, получаем:
Следовательно, для измерения индуктивности катушки ее необходимо подключить к источнику переменного тока известной частоты и измерить напряжение на катушке и силу тока в ней.
Схема электрической цепи, применяемой для определения индуктивного сопротивления, приведена на рис. 3.10. Кроме дросселя L, индуктивность которого надо определить, в cхему включен резистор . Величина его известна, поэтому, измерив напряжение на нем, можно рассчитать силу тока в цепи, как и в предыдущем упражнении.
Мгновенная мощность в цепи переменного тока с активным сопротивлением.
При переменных величинах напряжения и тока скорость преобразования электрической энергии в приемнике, т. е. его мощность, тоже изменяется. Мгновенная мощность равна произведению мгновенных величин напряжения и тока: p = Umsinωt * Imsinωt = UmImsin2ωt
Из тригонометрии найдём 
Более наглядное представление о характере изменения мощности в цепи дает график в прямоугольной системе координат, который строится после умножения ординат кривых напряжения и тока, соответствующих ряду значений их общего аргумента — времени t. Зависимость мощности от времени — периодическая кривая (рис. 13.2). Если ось времени t поднять по чертежу на величину р = Pm√2 = UmIm√2,то относительно новой оси t’ график мощности является синусоидой с двойной частотой и начальной фазой 90°: 
Таким образом, в первоначальной системе координат мгновенная, мощность равна сумме постоянной величины Р= UmIm√2 и перемен- ной р’:
р = Р + р’
Анализируя график мгновенной мощности, нетрудно заметить, что мощность в течение периода остается положительной, хотя ток и напряжение меняют свой знак. Это получается благодаря совпадению по фазе напряжения и тока.
Постоянство знака мощности говорит о том, что направление потока электрической энергии остается в течение периода неизменным, в данном случае от сети (от источника энергии) в приемник с сопротивлением R, где электрическая энергия необратимо преобразуется в другой вид энергии. В этом случае электрическая энергия называется активной.
Если R — сопротивление проводника, то в соответствии с законом Ленца — Джоуля электрическая энергия в нем преобразуется в тепло.
Основные характеристики цепи переменного тока
Цепь переменного тока с активным сопротивлением – это электрическая цепь, в которой протекает переменный ток под действием переменного напряжения.
Основные характеристики цепи переменного тока:
- Активное сопротивление: это основная характеристика цепи переменного тока. Активное сопротивление определяет сопротивление цепи для переменного тока и измеряется в омах. Оно зависит от физических свойств материала и геометрии проводника.
- Импеданс: импеданс – это показатель, описывающий сопротивление и реактивное сопротивление (индуктивное или емкостное) в цепи переменного тока. Импеданс измеряется в омах и представляет собой комплексное число.
- Фаза: фаза – это показатель, определяющий временное смещение относительно некоторой точки отсчета в цепи переменного тока. Фаза измеряется в радианах или градусах и может быть положительной или отрицательной.
- Частота: частота – это количество циклов изменения переменного тока в секунду. Частота измеряется в герцах (Гц). Форма и амплитуда переменного тока могут изменяться в зависимости от частоты.
- Амплитуда: амплитуда – это максимальное значение переменного тока или напряжения в цепи. Амплитуда измеряется в амперах или вольтах и может быть постоянной или изменяющейся с течением времени.
Основные характеристики цепи переменного тока взаимосвязаны и влияют на ее работу и поведение. Знание этих характеристик помогает в проектировании и анализе цепей переменного тока.
Свойства ёмкостей
Основное свойство состоит в их способности накапливать и отдавать электрический заряд. Оба этих процесса происходят не мгновенно, а за вполне определённый период, который поддаётся расчету. Данное свойство используется для создания различных времязадающих RC цепей. Если зарядить конденсатор до некоторого значения, то время его разряда через резистор R будет зависеть от ёмкости C. RC цепь Ещё одно распространённое свойство конденсаторов – это возможность ограничивать переменный ток. Вызвана она реактивом этих элементов. Ёмкость, включенная в цепь переменного тока, ограничивает его до значения I = 2pfCU.
Свойства ёмкостей.
Здесь U – напряжение источника питания. Дополнительная информация. Ёмкость, подключенная параллельно с катушкой, имеющей индуктивный характер сопротивления, называется колебательным контуром. Данная цепь обладает высокой амплитудой колебаний на резонансной частоте. Она применяется для выделения из множества окружающих радиосигналов именно того, на который требуется настроить приём.
Сопротивление – это одна их характеристик конденсатора, подключенного к цепи переменного тока. Понимание процессов, происходящих с этим элементом в подобных схемах, существенно расширяет сферу его использования. Реактивное сопротивление конденсаторов учитывается как в простых бытовых электроприборах, так и в сложной вычислительной технике.
Резистор обладает активным (омическим) сопротивлением. Катушка индуктивности и конденсатор обладают реактивным сопротивлением. В цепи переменного тока на конденсаторе ток опережает напряжение на 90 градусов, а на катушке ток отстает от напряжения на 90 градусов. Сопротивление катушки вычисляется по формуле. Сопротивление конденсатора вычисляется по формуле:
Расчет сопротивления.
В цепи переменного тока на идеальном реактивном сопротивлении не выделяется мощность.
Будет интересно Конденсатор — простыми словами о сложном
Z = R + i X , где Z – импеданс, R – величина активного сопротивления , X – величина реактивного сопротивления, i – мнимая единица . В зависимости от величины X какого-либо элемента электрической цепи, говорят о трёх случаях:
- X > 0 – элемент проявляет свойства индуктивности .
- X = 0 – элемент имеет чисто активное сопротивление .
- X < 0 – элемент проявляет ёмкостные свойства.
Величина реактивного сопротивления может быть выражена через величины индуктивного и ёмкостного сопротивлений.

Индуктивное сопротивление (X L ) обусловлено возникновением ЭДС самоиндукции . Электрический ток создает магнитное поле. Изменение тока, и как следствие изменение магнитного поля, вызывает ЭДС самоиндукции, которая препятствует изменению тока. Величина индуктивного сопротивления зависит от индуктивности элемента и частоты протекающего тока. Ёмкостное сопротивление (X C ). Величина ёмкостного сопротивления зависит от ёмкости элемента С и также частоты протекающего тока.
Емкость в цепи переменного тока
XC =1/ ωc
При включении емкости под переменное напряжение во время t=0, конденсатор полностью разряжен, напряжение на конденсаторе равно 0, и он начинает заряжаться. Поэтому мгновенно появляется ток зарядки. По мере зарядки конденсатора на нем начинает расти напряжение, которое тормозит процесс зарядки, а значит, ток зарядки начинает уменьшаться.

Когда U на конденсаторе достигает максимума, это значит, что оно достигло максимума напряжения источника, зарядка продолжаться не может, поэтому ток становится равным 0.
Синусоида тока (синяя) каждый раз пересекает ноль на π/2 раньше, чем (красная) синусоида напряжения.
То есть, максимальному напряжению на емкости соответствует ток, равный 0, а это значит, что ток на емкости С впереди напряжения на 90° или π/2
Постоянный и переменный ток.
Кратко напомню, что постоянный ток (DC) – это ток, который не меняет своей величины и направления в течение определенного промежутка времени.
Переменный ток (AC) — это ток, периодически изменяющийся как по величине, так и по направлению в течение определенного периода времени.
На рисунке выше на графиках представлены диаграммы постоянного тока (а) и переменного тока (б.
Период времени, в течение которого происходит полный цикл изменения тока, называется периодом. Период обозначается буквой T и измеряется в секундах.
Период времени, в течение которого происходит половина всего цикла изменения тока, называется полупериодом. Поэтому период изменения тока (ЭДС или напряжения) состоит из двух полупериодов. Совершенно очевидно, что все периоды одного и того же переменного тока равны между собой.
За один период изменения ток дважды достигает своего максимального значения.
Максимальное значение переменного тока (ЭДС или напряжения) называется его амплитудой или амплитудным значением тока.
Какие отличия
Важно! Преданная электроэлементу с активностным электросопротивлением энергия преображается и конвертируется, но не возвращается в сеть. Сопротивляемость же реактивная, наоборот, копит энергию внутри себя за ¼ всего периода синусоидального электротока, а за следующую четверть возвращает ее обратно в сеть
То есть, в окружающую среду полученная энергия не передается
Сопротивляемость же реактивная, наоборот, копит энергию внутри себя за ¼ всего периода синусоидального электротока, а за следующую четверть возвращает ее обратно в сеть. То есть, в окружающую среду полученная энергия не передается.
В активностном типе фазы электрических токов и напряжения совпадают, следовательно, выделяется некоторое количество электроэнергии. В реактивном виде фазы электротока и напряжения расходятся, поэтому энергия передается обратно. Это во многом объясняет то, что активностные электроэлементы нагреваются, а реактивные — нет.
Характеристики прибора
Самая важная особенность запоминающего устройства — это его емкость. Время зарядки зависит от этого, когда устройство подключено к источнику питания. Время разряда напрямую связано со значением сопротивления нагрузки: чем оно выше, тем быстрее происходит процесс возврата накопленной энергии. Эта способность определяется следующим выражением:
C = E * Eo * S / d, где E — относительная диэлектрическая проницаемость среды (контрольное значение), S — площадь пластин, d — расстояние между ними. Помимо емкости, конденсатор характеризуется рядом параметров, таких как:
- удельная емкость — определяет соотношение емкости и массы диэлектрика;
- рабочее напряжение — номинальное значение, которое может выдержать прибор при приложении к пластинам элементов;
- температурная стабильность — диапазон, в котором емкость конденсатора практически не меняется;
- сопротивление изоляции — характеризуется саморазрядом устройства и определяется током утечки;
- эквивалентное сопротивление — складывается из потерь, образующихся на выводах устройства и диэлектрическом слое;
- абсорбция — процесс появления разности потенциалов на пластинах после разрядки прибора до нуля;
- емкостное сопротивление — снижение проводимости при подаче переменного тока;
- полярность — из-за физических свойств материала, используемого при изготовлении, конденсатор может корректно работать только при приложении к пластинам потенциала с определенным знаком;
- эквивалентная индуктивность — паразитный параметр, который появляется на контактах устройства и превращает конденсатор в колебательный контур.

Таблицы максимальных значений емкости.
Полное сопротивление
При использовании нескольких разновидностей важно знать, как они сочетаются между собой. Активное сопротивление присутствует в любых схемах
Оно способствует превращению части электрической энергии в нагрев. Реактивное сопротивление возникает лишь в цепи переменного тока. Чтобы определить его величину, необходимо из индуктивного вычесть ёмкостное. Эта характеристика показывает энергию, которая пульсирует в цепи, переходя из одной формы в другую.
Полное сопротивление представляет собой сумму активного и реактивного сопротивления в цепи переменного тока, но такое сложение необходимо выполнять особым образом. Для этого нужно начертить прямоугольный треугольник, катеты в котором должны иметь длину, равную величине активного и реактивного сопротивлений соответственно.
Длина гипотенузы будет численно выражать полное сопротивление электрической цепи. Для его определения используется правило, говорящее о том, что сумма квадратов катетов равна квадрату гипотенузы. Это правило называют теоремой Пифагора. Следовательно, формула, с помощью которой можно найти полное сопротивление, выглядит так:
- Z — полное сопротивление;
- R — величина активной составляющей;
- XL и XC — значение индуктивного и емкостного параметра соответственно.
Следовательно, при расчёте полного сопротивления или импеданса нужно учитывать, что такое ёмкость и индуктивность и как они могут проявляться в электрических схемах. Эти величины называются еще паразитными, так как они могут отрицательно влиять на работу электроприбора. Их возникновение относят к непредсказуемым факторам. При этом емкостным или индуктивным сопротивлением, имеющим небольшое значение, при выполнении расчетов можно пренебречь.
Емкостное сопротивление
Резонанс в электрической цепи
Подключив генератор синусоидальной волны, осциллограф может регистрировать увеличение тока при увеличении частоты. Во время эксперимента необходимо поддерживать такую же амплитуду на входе.
Текущее изменение
В следующих разделах публикации описывается, почему происходят указанные явления.
Понятие ёмкости
Приведенная выше схема типовой конструкции подразумевает влияние следующих параметров на способность накапливать определенный заряд (q):
- площадь (S) пластин или рабочих пластин;
- расстояния (d) между этими функциональными компонентами;
- диэлектрические характеристики слоя (а — диэлектрическая проницаемость).
Узнав значения перечисленных величин, можно рассчитать напряжение:
E = q / (e * S).
Суммарные свойства (емкость) определяются по следующей формуле:
С = (e * S) / d = q / U, где U — напряжение.
Для случая с переменным током необходимо учитывать изменение параметров в определенном временном интервале:
I = q / t.
Учитывая приведенные выше зависимости, после несложных математических преобразований можно создать алгоритм расчета силы тока, которая будет проходить по цепи:
I = (C * ΔU) / Δt = f * C * Uo cos f * t = Io * sin (f * t + 90), где f — частота сигнала.
Векторное представление
Для наглядности процессов основные электрические параметры удобно представить в векторной форме. Для учета замедления процессов энергообмена введено понятие емкостного сопротивления (Xc).
Объяснение общих зависимостей
График и векторное представление показывают отставание напряжения от тока, протекающего в цепи, на 90 ° (π / 2).
Довожу до вашего сведения. Обратный эффект наблюдается, если в цепь включить индукционную катушку. В этом случае напряжение будет опережать ток по фазе на аналогичный угол (90°).
Приведенные выше характеристики подтверждают наличие реактивных компонентов в конденсаторах и катушках соответственно. В упрощенной форме сопротивление Xc выражается как обратная зависимость от частоты и емкости:
Хс = 1 / (f * C).
Представленная формула может быть использована для расчета фильтров, колебательных цепей и других схем.
График ёмкостного сопротивления
Выше указано, может ли через конденсатор протекать постоянный ток. Наличие диэлектрического слоя препятствует свободному течению электронов через эту область. Этот материал только накапливает заряды, но при том же потенциале это эквивалентно разрыву проводника. При работе с переменным сигналом ток смещения в пределах этой зоны выполняет функцию «соединительной» цепи.
Зависимость реактивного сопротивления конденсатора от частоты сигнала
Выводы:
- отсутствие колебательных процессов (f = 0) соответствует снижению проводимости до нуля, что аналогично разрыву цепи;
- с увеличением емкости сопротивление конденсатора уменьшается;
- чем выше частота, тем лучше проводимость.
Работа (мощность) в ёмкостной нагрузке
Выше отметим цикличность обмена энергией между источником переменного сигнала и подключенным конденсатором.
Власть
На схемах показаны процессы в конденсаторе на примере сжатия / растяжения пружины под действием внешней силы. В идеальных условиях нет потерь энергии. Однако в реальной ситуации необходимо учитывать потребление энергии по активному сопротивлению соединительных кабелей и других компонентов схемы. Снижение КПД объясняется ухудшением функционального состояния диэлектрика.
Прочие параметры
Для уточнения расчетов используется эквивалентная схема изделия со следующими элементами:
- емкость;
- электрические сопротивления изоляционного слоя, контактных и токопроводящих элементов конструкции;
- индуктивные реактивные компоненты.
Довожу до вашего сведения. После отключения нагрузки происходит небольшое повышение напряжения на конденсаторе (поглощение заряда). Также есть температурная зависимость рабочих параметров.
От чего зависит сопротивление конденсаторов цепей переменного тока
Его показатели зависят не только от емкостных характеристик последнего, но и от АЧХ протекающего по цепи электрического тока. Когда речь идет о сопротивлении резистора, мы говорим о параметрах самого резистора, например материале, форме, но нет никакой связи между его сопротивлением и частотными показателями электричества схемы (мы говорим об идеальном резисторе , i, паразитные параметры которой не характерны). Когда дело касается устройства для накопления энергии и зарядки электрического поля, все по-другому. Конденсатор одинаковой емкости на разных частотах тока имеет неодинаковый уровень сопротивления. Амплитуда протекающего через него электричества при постоянной амплитуде напряжения имеет другое значение.
Вам будет интересно. Особенности резонанса токов
Расчет Xc
Рассматривая эту формулу сопротивления конденсатора в цепи переменного тока, к каким выводам можно прийти? С увеличением частоты сигнала электрическое сопротивление конденсатора уменьшается.
По мере увеличения емкостных характеристик устройства накопления заряда и энергии электрического поля Xc переменное электричество, проходящее через него, будет стремиться вниз.

График, показывающий это значение конденсатора при непостоянном токе цепи, имеет форму гиперболы
Момент приближения значений частоты к нулю на оси (когда переменный электрический ток становится по своим параметрам аналогичным постоянному) сопровождается увеличением Xc конденсатора до бесконечных значений. Это правда: известно, что конденсатор сети постоянного тока на самом деле представляет собой разомкнутую цепь. Истинное электрическое сопротивление, конечно, не бесконечно, оно ограничено уровнем дисперсии конденсатора. Но его ценности остаются на высоком уровне, что нельзя игнорировать.
С увеличением разряда частоты до уровня бесконечных значений емкостное сопротивление электрического конденсатора стремится к нулевым точкам. Это характеризует идеальные модели. В реальных условиях конденсатор имеет неприятные характеристики (например, индуктивность и сопротивление утечки), поэтому емкостное сопротивление уменьшается до определенных значений, после чего увеличивается.
Примечание! Когда конденсатор подключен к электрической цепи с изменяющимися параметрами, его мощность не тратится зря, поскольку фазовые характеристики напряжения и тока смещены на 90 ° относительно друг друга. Через четверть периода электрический конденсатор заряжается (энергия накапливается в его электрическом поле), при следующем разряде энергия возвращается в цепь. Его электрическое сопротивление безвыходное, реактивное.
Индуктивное реактивное сопротивление
Индуктивное реактивное сопротивлениеXLпрямопропорционально частоте сигналаи индуктивности L.
Индуктивный элемент представляет собой катушку
индуктивности, тоесть длинный проводник, например проволока, намотанный в виде
катушки. Изнутри катушка может быть пустая или содержать магнетик. Закон
электромагнитной индукции Фарадея устанавливает, что ЭДС электромагнитной
индукциив замкнутом контуре численно равна и
противоположна по знаку скорости изменения магнитного потока через поверхность,
ограниченную этим контуром. Эта ЭДС часто называется противо-ЭДС.
Если индуктивность представляет собой катушку содержащую N витков.
В общем случае ЭДС является следствием изменения магнитного потока в
контуре. Но это изменение магнитного потока может иметь разные причины:
движение магнита, движение другой катушки с током, изменение собственного тока
контура. Последний случай носит название – явление самоиндукции, которое и
лежит в основе индуктивного реактивного сопротивления.
В свою очередь противо-ЭДС вызывает в контуре индукционный ток, который
направлен противоположно току источника питания. Точная форма правила Ленца:
индукционный ток в контуре имеет такое направление, что созданный им магнитный
поток, через контур, препятствует изменению магнитного потока, вызвавшего этот
ток.
Если к изначально неподключенной катушке индуктивности подключают источник
постоянного тока – в начальный момент в катушке начинает течь ток от внешнего
источника. Он вызывает изменение магнитного потока. Изменение магнитного потока
порождает противо-ЭДС. Противо-ЭДС вызывает противоток. Этот противоток в
начальный момент равен току источника.
При низких частотах или в цепи постоянного тока катушка индуктивности
проводит электрический ток беспрепятственно, и может рассматриваться как
короткозамкнутый участок цепи, тоесть проводник с низким сопротивлением. Если
к изначально неподключенной катушке индуктивности подключают источник
постоянного тока – в начальный момент в катушке возникает противоток, равный
току внешнего источника. Поэтому для идуктивного элемента в этот начальный
момент результирующий ток равен нулю, а напряжение максимально. Затем токи
источника и индуктивного элемента уравниваются и напряжение на индуктивном
элементе становится равным нулю.
Ток в катушке индуктивности, включённой в
цепь переменного тока, будет успевать возрасти только до определённого значения
перед тем, как ток источника питания изменит знак на противоположный. Тоесть
напряжение (на выводах катушки индуктивности) не будет успевать упасть до нуля,
как в случае цепи постоянного тока. Чем выше частота, тем выше напряжение на
выводах катушки индуктивности (сопротивление увеличивается).
2.3 Цепь, содержащая емкость, индуктивность и активное сопротивление (последовательное включение).
Под действием приложенного напряжения в цепи возникает ток i
, который протекает по элементам электрической цепи R,L,C и создает
падения напряжения uR , uLи uC
, причем: u=uR +uС +uL.
Полагая, что i=Imsin w
t. , получаем:
1) u R = RImsin w
t
– падение напряжения на активном сопротивлении;
2)
падение напряжения на индуктивном сопротивлении (опережает ток на p/2);
3)
падение напряжения на емкостном сопротивлении (отстает от тока на p/2).
В векторной форме
где длины векторов определяются произведением действующего значения
тока на соответствующее сопротивление (рис. 2.9).
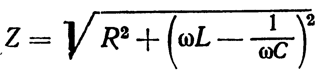
Полное сопротивление цепи:
       (2.4)
Если XL>XC, то угол j
– положительный, что означает наличие индуктивного характера сопротивления
цепи, при этом:
При расчетах
XC принимают отрицательным, а XL
-положительным, т.к. падения напряжения UL и UC
сдвинуты на 180 , т.е. противофазы.
Вектора напряжений
образуют треугольник напряжений (рис.2.10). При XC<XL
угол положительный, и полное сопротивление цепи имеетиндуктивный характер.
Если все стороны треугольника напряжений разделить на ток I,
получаем треугольник сопротивлений (рис.2.11), R – активное c
опротивление; X – реактивное сопротивление; Z – полное сопротивление.
Если XC >XL полное сопротивление цепи
приобретает емкостной характер, угол – отрицательный.
Умножив каждую сторону треугольника напряжений на ток I, получаем
треугольник мощностей.
где P – активная мощность, Q – реактивная мощность, S
– полная мощность, cosj – коэффициент
мощности.
Единицей измерения полной мощности является Вольт-ампер (ВА).
Чем меньше cosj тем хуже используется
электрическое устройство и тем больше реактивная мощность, что приводит
к появлению значительных токов в цепях питания и значительных активных
потерь.






![§ 64. цепь переменного тока с активным сопротивлением [1970 кузнецов м.и. - основы электротехники]](https://svet-mr.ru/wp-content/uploads/5/7/8/5781fac13e328e4af45d0ad3700b5395.jpeg)




























